Table 1
Substances and processes
requiring a code of practice
[See section 26(1)]
Arsenic and arsenic compounds
Asbestos
Benzene
Beryllium
1,3 Butadiene
Cadmium
Coal tar pitch volatiles
1,2 Dibromoethane (Ethylene dibromide)
Ethylene oxide
Hexachlorobutadiene
Hydrazines
Hydrogen sulphide
Isocyanates
Lead and lead compounds
Methyl bromide
Methyl hydrazine
Perchlorates
Silica crystalline, respirable
Styrene in styrene resin fabrication
Vinyl chloride (Chloroethylene)
Zinc chromate
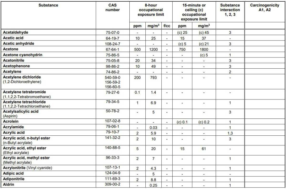
Table 2
Occupational exposure limits for chemical substances
(1) A person using this Table may apply either the “mg/m3” or “ppm” measure defined as follows:
“mg/m3” means milligrams of substance per cubic metre of air measured at ambient work site
conditions;
“ppm” (parts per million) means parts of a vapour or gas by volume at standard conditions
(25ºC and an absolute barometric pressure of 101.3 kilopascals) per parts of contaminated air
by volume at ambient work site conditions.
(2) “f/cc” means fibres per cubic centimetre of air; “CAS” means Chemical Abstracts Service.
(3) The numbers 1, 2 and 3 in the “Substance Interaction” column have the following meanings:
1 — substance may be readily absorbed through intact skin;
2 — substance is a simple asphyxiant that may create an atmosphere deficient in oxygen; available
oxygen in the range of 19.5 percent to 23 percent by volume must be present;
3 — occupational exposure limit is based on irritation effects and its adjustment to compensate for
unusual work schedules is not required.
(4) A carcinogen is defined as “an agent capable of inducing benign or malignant neoplasms.” Based
on the weight of evidence from epidemiologic studies, “A1” would be a Confirmed Human
Carcinogen and means that the agent is carcinogenic to humans. “A2” would be a Suspected Human
Carcinogen and means that human data are accepted as adequate in quality but are conflicting or
insufficient to classify the agent as A1 (American Conference of Governmental Industrial Hygienists).


































